Quảng cáo
2 câu trả lời 156
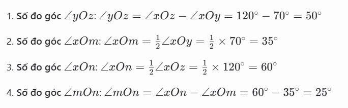
Đáp số:
yOẑ=50∘
xOm̂=35∘
xOn̂=60∘
mOn̂=25∘
yOẑ=50∘
xOm̂=35∘
xOn̂=60∘
mOn̂=25∘
Quảng cáo
Bạn cần hỏi gì?
Câu hỏi hot cùng chủ đề
-
Hỏi từ APP VIETJACK131658
-
Đã trả lời bởi chuyên gia
84232 -
Đã trả lời bởi chuyên gia
64360 -
Đã trả lời bởi chuyên gia
40832 -
Đã trả lời bởi chuyên gia
38138
Gửi báo cáo thành công!

