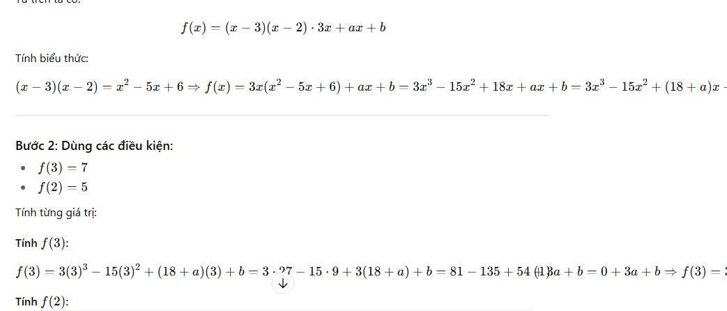
Biết f(x) chia cho x-3 dư 7; chia cho x-2 dư 5; chia cho (x-3)(x-2) được thương là 3x và còn dư.Tìm f(x).
Quảng cáo
5 câu trả lời 200
Kết luận:
Hàm số f(x)
cần tìm là f(x)=3x(x−3)(x−2)+2x+1
Hàm số f(x)
cần tìm là f(x)=3x(x−3)(x−2)+2x+1
Đức anh Ho
· 8 tháng trước
pk giải thích rõ ra
♉︎𓍢🎧AN_Mê_OTP_Dương _Hùng ✧˚.🎀༘⋆✧
· 8 tháng trước
ok
Đức anh Ho
· 8 tháng trước
đc chưa
♉︎𓍢🎧AN_Mê_OTP_Dương _Hùng ✧˚.🎀༘⋆✧
· 8 tháng trước
òi
đúng hom
Đức anh Ho
· 8 tháng trước
đúng nhưng phải giải thích rõ
♉︎𓍢🎧AN_Mê_OTP_Dương _Hùng ✧˚.🎀༘⋆✧
· 8 tháng trước
oki

Kết luận:
Phần dư là ax+b=2x+1
Vậy:
f(x)=(x−3)(x−2)⋅3x+2x+1Hoặc khai triển đầy đủ:
f(x)=3x(x2−5x+6)+2x+1=3x3−15x2+18x+2x+1=3x3−15x2+20x+1
đc chưa
Đức anh Ho
· 8 tháng trước
rồi
Đức anh Ho
· 8 tháng trước
chatgpt à
♉︎𓍢🎧AN_Mê_OTP_Dương _Hùng ✧˚.🎀༘⋆✧
· 8 tháng trước
...
Quảng cáo
Bạn cần hỏi gì?
Câu hỏi hot cùng chủ đề
-
Hỏi từ APP VIETJACK131658
-
Đã trả lời bởi chuyên gia
84232 -
Đã trả lời bởi chuyên gia
64360 -
Đã trả lời bởi chuyên gia
40832 -
Đã trả lời bởi chuyên gia
38138
Gửi báo cáo thành công!
