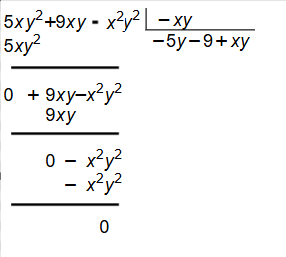
(5xy2+ 9xy - x2y2 ):(-xy)
Quảng cáo
1 câu trả lời 146
ta giải như sau

Vậy (5xy2+9xy-x2y2): (-xy) = -5y-9+xy
Quảng cáo
Bạn cần hỏi gì?
Câu hỏi hot cùng chủ đề
-
112455
-
Hỏi từ APP VIETJACK
Đã trả lời bởi chuyên gia
73067 -
Đã trả lời bởi chuyên gia
54144 -
Đã trả lời bởi chuyên gia
48412 -
Đã trả lời bởi chuyên gia
47377 -
Đã trả lời bởi chuyên gia
46627 -
Hỏi từ APP VIETJACK
Đã trả lời bởi chuyên gia
41318 -
Đã trả lời bởi chuyên gia
39328
Gửi báo cáo thành công!
