Quảng cáo
3 câu trả lời 231
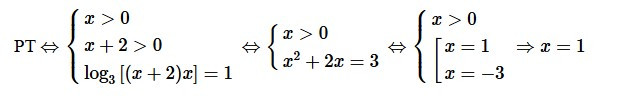
giải phương trình sau:log3x+log3(x+2)=1

Quảng cáo
Bạn cần hỏi gì?
Câu hỏi hot cùng chủ đề
-
Đã trả lời bởi chuyên gia
135829 -
Hỏi từ APP VIETJACK
Đã trả lời bởi chuyên gia
76856 -
Đã trả lời bởi chuyên gia
72508 -
Đã trả lời bởi chuyên gia
47974
Gửi báo cáo thành công!
