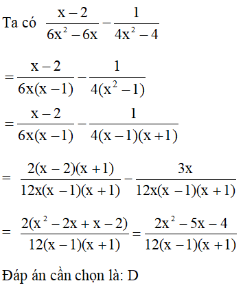
Kết quả gọn nhất của phép tính là một phân thức có tử thức là?
A.
B.
C.
D.
Quảng cáo
1 câu trả lời 1864
Quảng cáo
Bạn cần hỏi gì?
Câu hỏi hot cùng chủ đề
-
Đã trả lời bởi chuyên gia
10420 -
Đã trả lời bởi chuyên gia
7525 -
Đã trả lời bởi chuyên gia
7517 -
Đã trả lời bởi chuyên gia
6759
Gửi báo cáo thành công!
