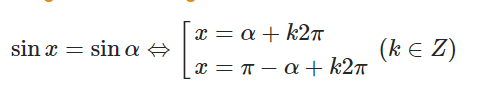
Công thức nghiệm của phương trình sinx = sin alpha là
Quảng cáo
1 câu trả lời 159
Quảng cáo
Bạn cần hỏi gì?
Câu hỏi hot cùng chủ đề
-
Đã trả lời bởi chuyên gia
135709 -
Hỏi từ APP VIETJACK
Đã trả lời bởi chuyên gia
76766 -
Đã trả lời bởi chuyên gia
72420 -
Đã trả lời bởi chuyên gia
47919
Gửi báo cáo thành công!

