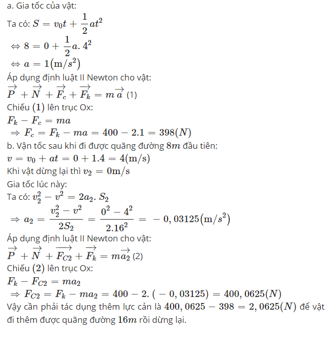
Một vật khối lượng 2kg bắt đầu chuyển động trên mặt phẳng ngang, sau 4s vật đi được quãng đường 8m. Lực kéo tác dụng lên vật là 400 N. Lấy g = 10 m/s²
a. Tính tổng lực cản tác dụng lên vật
b. Để vật đi thêm được quãng đường 16m rồi dừng lại cần tác dụng thêm lực cản bằng bao nhiêu?
a. Tính tổng lực cản tác dụng lên vật
b. Để vật đi thêm được quãng đường 16m rồi dừng lại cần tác dụng thêm lực cản bằng bao nhiêu?
Quảng cáo
1 câu trả lời 3030
Quảng cáo
Bạn cần hỏi gì?
Câu hỏi hot cùng chủ đề
-
Đã trả lời bởi chuyên gia
154117 -
100380
-
Hỏi từ APP VIETJACK
Đã trả lời bởi chuyên gia
61586
Gửi báo cáo thành công!

