Linh nghĩ về một số. Bạn ấy cộng thêm 12 vào rồi lại lấy tỏng nhân 7. Tích nhận được là một số gấp 10 lần số ban đầu. Hỏi Linh đã nghĩ tới số nào?
Quảng cáo
3 câu trả lời 246
Gọi số mà Linh nghĩ là x.
Theo đề bài, ta có phương trình:
(tích nhận được là một số gấp 10 lần số ban đầu)
=> 7x + 84 = 10x
=> 3x = 84
=> x = 28
Vậy Linh đã nghĩ tới số 28.
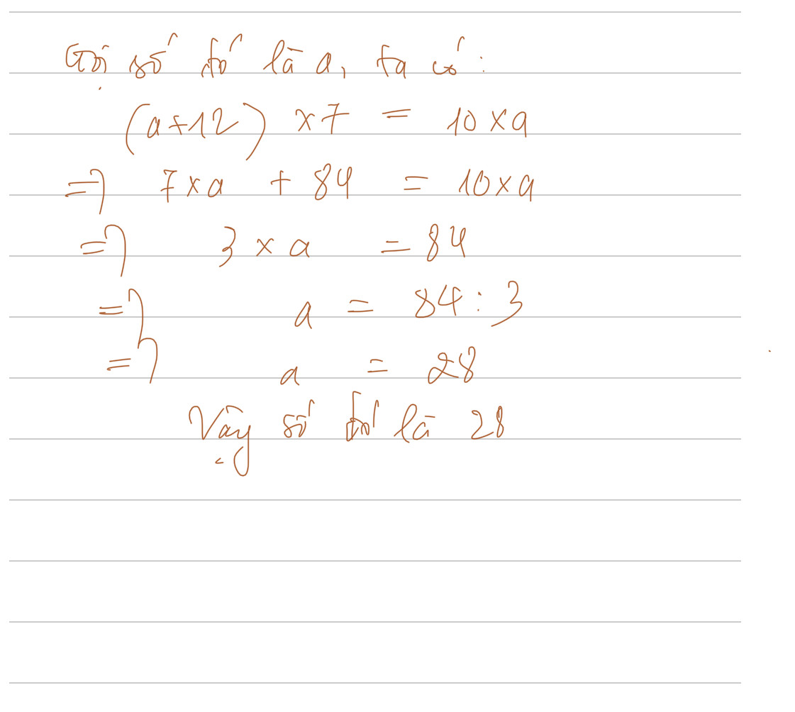
Gọi số mà Linh nghĩ là x.
Theo đề bài, ta có phương trình:
(x + 12) ×7 = 10x(x + 12) ×7 = 10x (tích nhận được là một số gấp 10 lần số ban đầu)
=> 7x + 84 = 10x
=> 3x = 84
=> x = 28
Vậy Linh đã nghĩ tới số 28.
Quảng cáo
Bạn cần hỏi gì?
Câu hỏi hot cùng chủ đề
-
Đã trả lời bởi chuyên gia
Điền vào chỗ trống trong bảng thanh toán sau:
Số thứ tự Loại hàng Số lượng (quyển) Giá đơn vị (đồng) Tổng số tiền (đồng) 1 Vở loại 1 35 2000 ... 2 Vở loại 2 42 1500 ... 3 Vở loại 3 38 1200 ... Cộng: ... 170100 -
Đã trả lời bởi chuyên gia
78752 -
Đã trả lời bởi chuyên gia
63195 -
Hỏi từ APP VIETJACK
Đã trả lời bởi chuyên gia
39467 -
Đã trả lời bởi chuyên gia
35479 -
Đã trả lời bởi chuyên gia
32364
Gửi báo cáo thành công!



