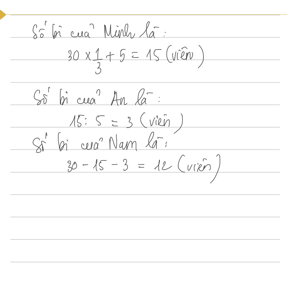
Minh,An và Nam có tất cả 30 viên bi,Minh cho An 5 viên bi của mình.Lúc này,Minh còn số bi bằng 1/3 tổng số bi của 3 người.Biết số bi lúc đầu của Minh gấp 5 lần số bi lúc đầu của An.Hỏi số bi lúc đầu của 3 bạn Minh,An và Nam là bao nhiêu?
Quảng cáo
4 câu trả lời 540
Quảng cáo
Bạn cần hỏi gì?
Câu hỏi hot cùng chủ đề
-
Đã trả lời bởi chuyên gia
58316 -
Đã trả lời bởi chuyên gia
32443 -
Đã trả lời bởi chuyên gia
29992 -
Đã trả lời bởi chuyên gia
22821 -
Đã trả lời bởi chuyên gia
20962 -
Hỏi từ APP VIETJACK
Đã trả lời bởi chuyên gia
20051
Gửi báo cáo thành công!
