Gia Hân 7A Huỳnh Đặng
Hỏi từ APP VIETJACK
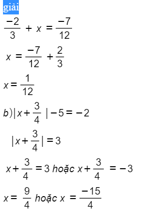
Tìm x,biết:
a)-2/3+x=-7/12
b)|x+3/4|-5=-2
a)-2/3+x=-7/12
b)|x+3/4|-5=-2
Quảng cáo
2 câu trả lời 117
Quảng cáo
Bạn cần hỏi gì?
Câu hỏi hot cùng chủ đề
-
Hỏi từ APP VIETJACK129672
-
Đã trả lời bởi chuyên gia
84164 -
Đã trả lời bởi chuyên gia
64286 -
Đã trả lời bởi chuyên gia
40786 -
Đã trả lời bởi chuyên gia
38058
Gửi báo cáo thành công!

