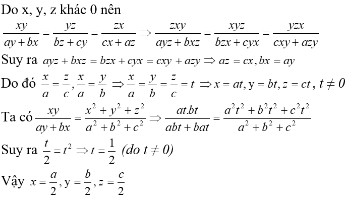
Cho a,b,c,x,y,z là các số thực khác 0 thảo mãn:
Chứng minh rằng
Quảng cáo
1 câu trả lời 146
Quảng cáo
Bạn cần hỏi gì?
Câu hỏi hot cùng chủ đề
-
Hỏi từ APP VIETJACK129672
-
Đã trả lời bởi chuyên gia
84164 -
Đã trả lời bởi chuyên gia
64286 -
Đã trả lời bởi chuyên gia
40786 -
Đã trả lời bởi chuyên gia
38058
Gửi báo cáo thành công!

