Phạm Trung Hậu
Hỏi từ APP VIETJACK
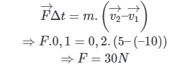
Quả bóng có khối lượng 200g đập vuông góc vào tường với vận tốc 10m/s rồi bật ngược lại theo phương cũ với vận tốc 5m/s, thời gian va chạm là 0,1s. Xác định lực mà tương tác dụng vào quả bóng. Giúp em với ạ huhu
Quảng cáo
1 câu trả lời 2490
Quảng cáo
Bạn cần hỏi gì?
Câu hỏi hot cùng chủ đề
-
Đã trả lời bởi chuyên gia
153784 -
100194
-
Hỏi từ APP VIETJACK
Đã trả lời bởi chuyên gia
61461
Gửi báo cáo thành công!

