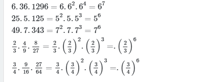
Viết các tích sau đâu dưới dạnh luỹ thừa
a, 6.36.1296 b, 25.5.125
c, 49.7.343 d,
e,
bài 5 : tính giá trị của các biểu thức sau
a, A=(32)2-(-23)2-(-52)2
b, B=23+3.0.2.4+2[(-2)2::]:8
Quảng cáo
2 câu trả lời 1596
Quảng cáo
Bạn cần hỏi gì?
Câu hỏi hot cùng chủ đề
-
Đã trả lời bởi chuyên gia
30602 -
Đã trả lời bởi chuyên gia
5626
Gửi báo cáo thành công!

