Quảng cáo
1 câu trả lời 164
3 năm trước
Đáp án đúng là: B
Điều kiện của phương trình: x2 + 5x + 2 ≥ 0

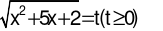
Đặt 

Kết hợp với điều kiện t = 4 thỏa mãn
Với t = 4 ta có 
Vậy phương trình đã cho có 1 nghiệm nguyên âm.
Quảng cáo
Bạn cần hỏi gì?
Câu hỏi hot cùng chủ đề
-
Đã trả lời bởi chuyên gia
89037 -
Đã trả lời bởi chuyên gia
59731 -
Hỏi từ APP VIETJACK
Đã trả lời bởi chuyên gia
58851 -
Đã trả lời bởi chuyên gia
50834 -
Hỏi từ APP VIETJACK
Đã trả lời bởi chuyên gia
48266 -
Đã trả lời bởi chuyên gia
38581
Gửi báo cáo thành công!

có bao nhiêu nghiệm nguyên âm: