Một chiếc thuyền đi từ bến A đến bến B hết 5 giờ, từ bến B đến bến A hết 7 giờ. Hỏi một đám béo trôi theo dòng sông từ A đến B hết bao lâu?
Quảng cáo
1 câu trả lời 358
Ta có vận tốc trôi của đám bèo chính là vận tốc của dòng nước.
Gọi thời gian cụm bèo trôi từ bến A về bến B là x giờ (x > 0).
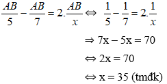
Quãng đường đi từ bến A đến bến B là AB
Vận tốc cụm bèo trôi hay chính là vận tốc chảy của dòng nước là
Vì vận tốc của thuyền khi xuôi dòng bằng tổng vận tốc thực của thuyền và vận tốc dòng nước. Vận tốc của thuyền khi ngược dòng bằng hiệu vận tốc thực của thuyền và vận tốc dòng nước. Do đó hiệu vận tốc lúc xuôi dòng và lúc ngược dòng của chiếc thuyền bằng hai lần vận tốc dòng nước.
Từ đó ta có phương trình:
Vậy thời gian cụm bèo trôi từ bến A về bến B là 35 giờ.
Quảng cáo
Bạn cần hỏi gì?
Câu hỏi hot cùng chủ đề
-
107437
-
Hỏi từ APP VIETJACK
Đã trả lời bởi chuyên gia
68061 -
Đã trả lời bởi chuyên gia
52846 -
Đã trả lời bởi chuyên gia
47344 -
Đã trả lời bởi chuyên gia
45400 -
Đã trả lời bởi chuyên gia
45045 -
Hỏi từ APP VIETJACK
Đã trả lời bởi chuyên gia
38412 -
Đã trả lời bởi chuyên gia
38191
