Quảng cáo
1 câu trả lời 795
Ta biểu thị hai bờ sông là hai đường thẳng song song d1, d2 . Giả sử tàu 1 xuất phát từ A' ∈ d1 và bánh lái luôn được giữ để tàu tạo với bờ một góc α. Gọi và lần lượt là vận tốc riêng của tàu và vận tốc dòng nước. Gọi B’, C’ là các điểm sao cho
và
Khi đó tàu chuyển động với vecto vận tốc thực tế là
Xét ΔA’B’C’, có: góc A'C'B'=α (hai góc so le trong)
Giả sử tàu 2 xuất phát từ A ∈ d1 và bánh lái luôn được giữ để tàu tạo với bờ một góc α. Gọi và lần lượt là vận tốc riêng của tàu và vận tốc dòng nước. Gọi B, C là các điểm sao cho :
Khi đó tàu chuyển động với vecto vận tốc thực tế là
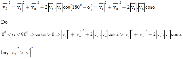
Xét ΔABC, có: góc ABC=180° - a
Vì độ dài hai quãng đường AN và A’M’ của tàu 2 và tàu 1 chênh nhau không đáng kể nên ta coi nó bằng nhau. Do đó vì vận tốc tàu 2 lớn hơn tàu 1 nên tàu 2 là tàu đi qua bờ bên kia trước.
Quảng cáo
Bạn cần hỏi gì?
Câu hỏi hot cùng chủ đề
-
Đã trả lời bởi chuyên gia
89101 -
Đã trả lời bởi chuyên gia
59778 -
Hỏi từ APP VIETJACK
Đã trả lời bởi chuyên gia
58982 -
Đã trả lời bởi chuyên gia
50860 -
Hỏi từ APP VIETJACK
Đã trả lời bởi chuyên gia
48304 -
Đã trả lời bởi chuyên gia
38597
