Lê Thị Xuân Thảo
Hỏi từ APP VIETJACK
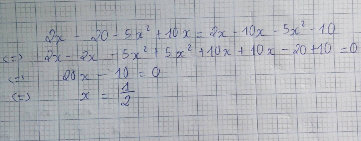
2x - 20 - 5x² + 10x = 2x - 10x - 5x² - 10
Quảng cáo
2 câu trả lời 292
2x - 20 - + 10x = 2x - 10x - -10
-20 + 10x = -10x - 10
10x + 10x = -10 +20
20x=10
x =
Quảng cáo
Bạn cần hỏi gì?
Câu hỏi hot cùng chủ đề
-
107437
-
Hỏi từ APP VIETJACK
Đã trả lời bởi chuyên gia
68061 -
Đã trả lời bởi chuyên gia
52846 -
Đã trả lời bởi chuyên gia
47344 -
Đã trả lời bởi chuyên gia
45400 -
Đã trả lời bởi chuyên gia
45045 -
Hỏi từ APP VIETJACK
Đã trả lời bởi chuyên gia
38412 -
Đã trả lời bởi chuyên gia
38191
Gửi báo cáo thành công!

chúc bn học tốt