Người đi xe máy trên đoạn đường AB. Nửa đoạn đường đầu người ấy đi với vận tốc 30 km/h. Trong nửa thời gian còn lại đi với vận tốc 25 km/h. Cuối cùng người ấy đi với vận tốc 15 km/h. Tính vận tốc trung bình trên cả đoạn đường AB.
Quảng cáo
1 câu trả lời 763
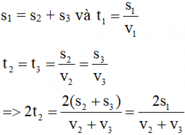
- Gọi lần lượt là quãng đường, thời gian và vận tốc trên mỗi đoạn đường.
- Ta có:

- Vận tốc trung bình:

Quảng cáo
Bạn cần hỏi gì?
Câu hỏi hot cùng chủ đề
-
Hỏi từ APP VIETJACK
Đã trả lời bởi chuyên gia
76858 -
Đã trả lời bởi chuyên gia
29489 -
Đã trả lời bởi chuyên gia
27137
Gửi báo cáo thành công!
