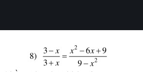
Một phân thức có giá trị bằng 0 khi giá trị của tử thức bằng 0 còn giá trị của mẫu thức khác 0.Ví dụ giá trị của phân thức khi và x + 1 0 hay (x - 5)(x + 5) = 0 và x -1. Vậy giá trị của phân thức này bằng 0 khi x = 5. Tìm các giá trị của của x để giá trị mỗi phân thức sau có giá trị bằng 0?
Quảng cáo
2 câu trả lời 1684
Phân thức khi 3x – 2 = 0 và
Ta có: ⇔ ⇔
3x – 2 = 0 ⇔
Ta có: thỏa mãn điều kiện x - 1
Vậy thì phân thức
có giá trị bằng 0.
Tìm các giá trị của x để các phân thức sau nhận giá trị bằng 0
Quảng cáo
Bạn cần hỏi gì?
Câu hỏi hot cùng chủ đề
-
Đã trả lời bởi chuyên gia
17586 -
Đã trả lời bởi chuyên gia
16445 -
Đã trả lời bởi chuyên gia
10514 -
Đã trả lời bởi chuyên gia
9289 -
Đã trả lời bởi chuyên gia
9234 -
Đã trả lời bởi chuyên gia
7787 -
Đã trả lời bởi chuyên gia
6376 -
Đã trả lời bởi chuyên gia
6166
Gửi báo cáo thành công!
