Một thác nước cao 126 m và độ chênh lệch nhiệt độ của nước ở đỉnh và chân thác là 0,3°C. Giả thiết rằng khi chạm vào chân thác, toàn bộ động năng của nước chuyển hết thành nhiệt năng truyền cho nước. Hãy tính nhiệt dung riêng của nước.
A. 2500 J/kg.K B. 420 J/kg.K C. 4200 J.kg.K D. 480 J/kg.K
Quảng cáo
1 câu trả lời 1642
5 năm trước
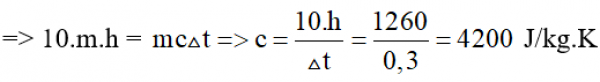
Xét m (kg) nước ở đỉnh thác khi xuống đến chân có động năng W = 10.m.h
Nhiệt năng truyền cho nước: Q = mcΔt

⇒ Đáp án C
Quảng cáo
Bạn cần hỏi gì?
Câu hỏi hot cùng chủ đề
-
Hỏi từ APP VIETJACK
Đã trả lời bởi chuyên gia
76203 -
Đã trả lời bởi chuyên gia
28813 -
Đã trả lời bởi chuyên gia
26633
Gửi báo cáo thành công!
