Các bạn ơi giúp mình với
(4x mủ 2- 3) tất cả mủ 3 =8. Mong các bạn giúp
Quảng cáo
2 câu trả lời 399
\[\begin{array}{l}
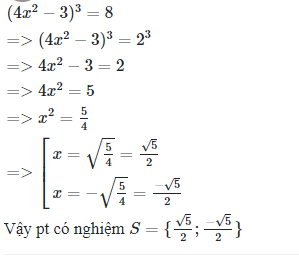
{(4{x^2} - 3)^3} = 8\\
= > {(4{x^2} - 3)^3} = {2^3}\\
= > 4{x^2} - 3 = 2\\
= > 4{x^2} = 5\\
= > {x^2} = \frac{5}{4}\\
= > \left[ \begin{array}{l}
x = \sqrt {\frac{5}{4}} = \frac{{\sqrt 5 }}{2}\\
x = - \sqrt {\frac{5}{4}} = \frac{{ - \sqrt 5 }}{2}
\end{array} \right.
\end{array}\]
Vậy pt có nghiệm \[S = \{ \frac{{\sqrt 5 }}{2};\frac{{ - \sqrt 5 }}{2}\} \]
4 năm trước
.
Nguyễn Quốc Việt
· 4 năm trước
chị ơi tại sao mình suy ra hai trường hợp vậy ạu
Ngô Tuệ Minh
· 4 năm trước
Hm.. vì ta có thể dùng 1 hoặc 2 trường hợp đó, ngoài ra còn để chắc chắn nhé! Không hiểu gì thì hỏi chị.
Quảng cáo
Bạn muốn hỏi bài tập?
Câu hỏi hot cùng chủ đề
Gửi báo cáo thành công!
