Tìm x, biết:
(x-2)(x^2+2x+7)+2(x^2-4)-5(x-2)=0
giúp tớ bài này với các bạn!
Quảng cáo
2 câu trả lời 7724
Giải phương trình (x - 2)(x2 + 2x + 7) + 2(x2 - 4) - 5(x - 2) = 0
Phân tích và rút gọn phương trình
Phương trình đã cho:
Bước 1: Phân phối các hạng tử.
1. Phân phối ![]()
![]()
Tính từng phần:
![]()
Do đó:
![]()
2. Phân phối
:
![]()
3. Phân phối
:
![]()
Bước 2: Ghép các hạng tử lại.
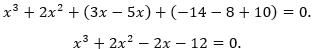
Thay các kết quả vào phương trình ban đầu:
![]()
Rút gọn các hạng tử:
![]()
Giải phương trình bậc ba
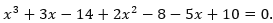
Phương trình trở thành:

Bước 3: Phân tích đa thức.
Nhóm các hạng tử:
![]()
Đặt nhân tử chung:
![]()
Đặt (x + 2) làm nhân tử chung:
![]()
Bước 4: Giải các nhân tử.
Phương trình tích bằng 0 khi:
![]()
1. Giải x + 2 = 0:
x = -2.
2. Giải x2 - 2:
![]()
Kết luận
Nghiệm của phương trình là:
![]()
(x-2)(x^2+2x+7)+2(x^2-4)-5(x-2)=0
<=>(x-2).(x^2+2x+7)+2.(x-2).(x+2)-5.(x-2)=0
<=>(x-2).(x^2+2x+7+2x+4-5)=0
<=>(x-2).(x^2+4x+6)=0
<=>x-2=0 (do x^2+4x+6=(x+2)^2+2>0 với mọi x)
<=>x=2
Vậy x=2
Quảng cáo
Bạn cần hỏi gì?
Câu hỏi hot cùng chủ đề
-
Đã trả lời bởi chuyên gia
17482 -
Đã trả lời bởi chuyên gia
8069 -
Đã trả lời bởi chuyên gia
8029
