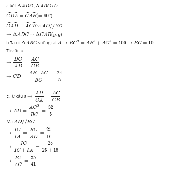
Cho tam giác ABC vuông tại A, có AB=6cm, AC=8cm. trên một nửa mặt phẳng bờ AC không chứa điểm B,vẽ tia Ax song song với BC. từ C vẽ CD vuông góc với Ax tại D. Chứng minh
a,tam giác ADC đồng dạng với CAB
b,tính DC
c,BD cắt AC tại I. Tính diện tích tam giác BIC
Quảng cáo
3 câu trả lời 748
Quảng cáo
Bạn muốn hỏi bài tập?
Câu hỏi hot cùng chủ đề
-
11983
-
5984
Gửi báo cáo thành công!



