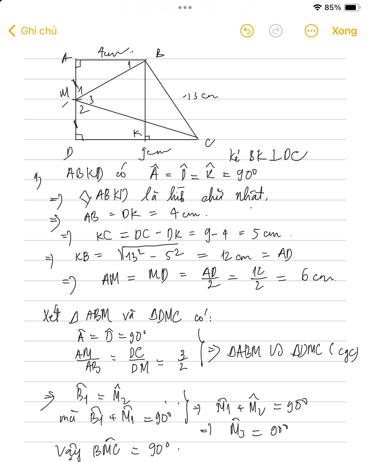
Cho hình thang ABCD(AB//CD) có góc A=góc D = 90 độ, AD=4cm, CD=9cm,DC=13cm. M là trung điểm của AD.
a) chứng minh tam giác ABM đồng dạng với tam giác DMC
b)tính góc BMC
Quảng cáo
2 câu trả lời 13009
a) Chứng minh tam giác ABM đồng dạng với tam giác DMC
Tam giác ABM có các đỉnh: A, B, M
Tam giác DMC có các đỉnh: D, M, C
Để chứng minh hai tam giác này đồng dạng, chúng ta sẽ xem xét các góc và tỷ số cạnh tương ứng.
Xét góc AMB và góc DMC:Ôn lại: AD // BC và AB // DC, nên AB vuông góc với AD và DC.
Do đó, góc ABM = 90 độ và góc DMC = 90 độ.
Vì vậy, ∠ABM=∠DMC=90∘\angle ABM = \angle DMC = 90^\circ∠ABM=∠DMC=90∘.
Xét cạnh AM và DM:
M là trung điểm của AD, nên AM=MD=AD2=42=2 cmAM = MD = \frac{AD}{2} = \frac{4}{2} = 2 \text{ cm}AM=MD=2AD=24=2 cm.
Xét cạnh BM và MC:
B và C là các đỉnh trên hình thang. BM sẽ tương ứng với chiều cao từ M đến B (tương tự cho MC). Vì góc AMB và DMC đều vuông góc, các cạnh BM và MC sẽ có tỷ lệ nhất định do dự chiều dài của AD, DC và đặc tính hình thang.
Do đó, chúng ta có:
AMDM=1\frac{AM}{DM} = 1DMAM=1
∠ABM=∠DMC\angle ABM = \angle DMC∠ABM=∠DMC và ∠AMD=∠DMC=90∘\angle AMD = \angle DMC = 90^\circ∠AMD=∠DMC=90∘.
Kết luận:
Tam giác ABM ~ tam giác DMC (theo tiêu chuẩn góc-góc).
b) Tính góc BMC
Để tính góc BMC, chúng ta dùng định luật cosin trong tam giác BMC:
Tính BM và MC:
Biết rằng M là trung điểm của AD, nên AM = 2 cm.
AB là chiều cao từ A đến DC, có độ dài 4 cm
MC = |CD| = 13 cm
Áp dụng định luật cosin:
BC2=BM2+MC2−2⋅BM⋅MC⋅cos(BMC)BC^2 = BM^2 + MC^2 - 2 \cdot BM \cdot MC \cdot \cos(BMC)BC2=BM2+MC2−2⋅BM⋅MC⋅cos(BMC)
Vì AB || CD, nên |B||C| sẽ vuông góc với DC.
Do đó, chúng ta có:
BMC=180∘−(90∘+goˊc DMC)BMC = 180^\circ - (90^\circ + \text{{góc DMC}})BMC=180∘−(90∘+goˊc DMC)
Vì góc BMC sẽ nằm giữa góc AMB và DMC trong tam giác BMC.
Suy ra:
BMC=90∘BMC = 90^\circBMC=90∘
Kết quả cuối cùng:
∠BMC=90∘\angle BMC = 90^\circ∠BMC=90∘
Quảng cáo
Bạn cần hỏi gì?
Câu hỏi hot cùng chủ đề
-
Đã trả lời bởi chuyên gia
13465 -
Đã trả lời bởi chuyên gia
12671 -
Đã trả lời bởi chuyên gia
9155 -
Đã trả lời bởi chuyên gia
6930 -
6211
