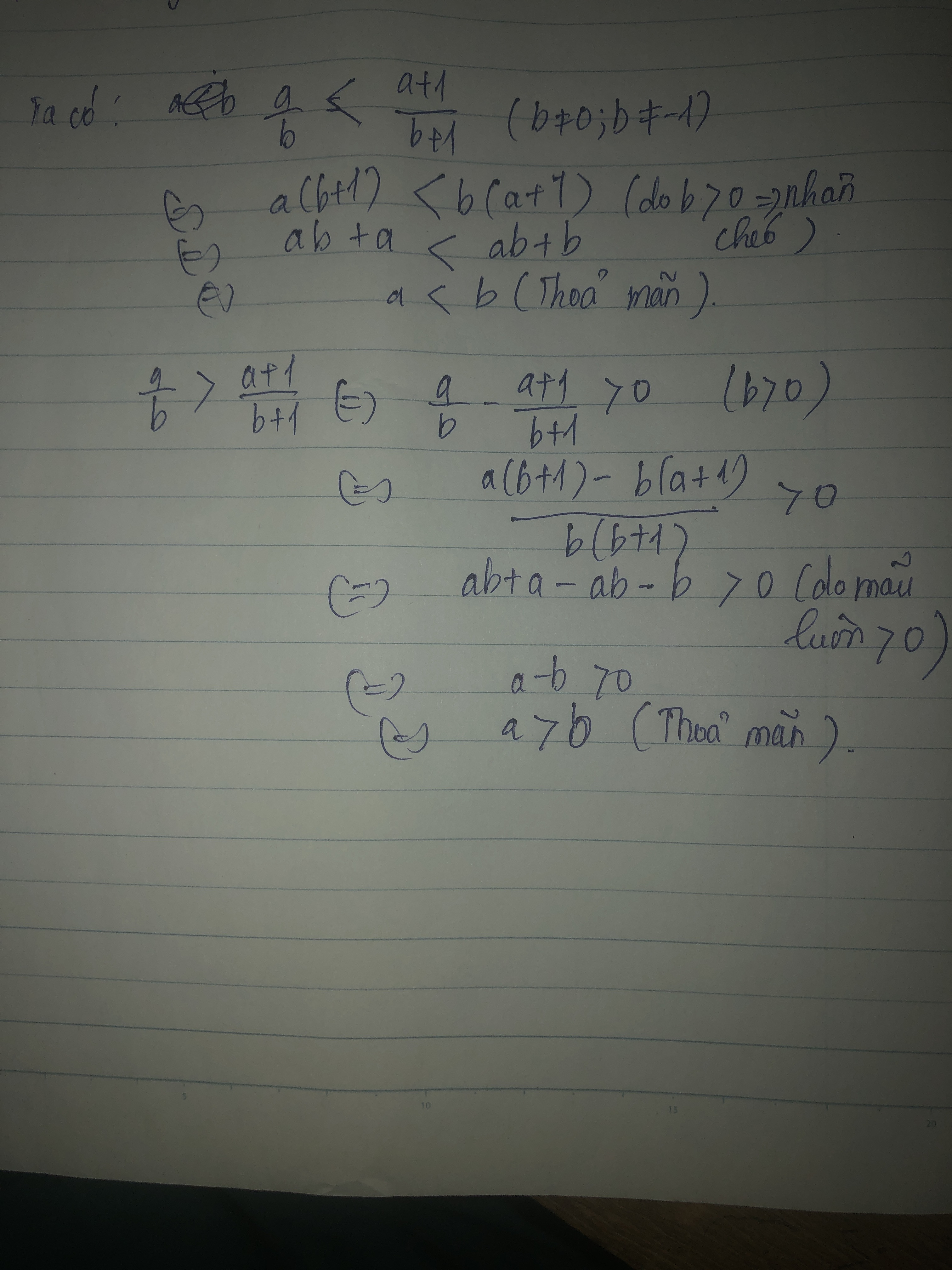
Cho b>0. Nếu ab thì to
Quảng cáo
2 câu trả lời 4411
Quảng cáo
Bạn cần hỏi gì?
Câu hỏi hot cùng chủ đề
-
Đã trả lời bởi chuyên gia
30602 -
Đã trả lời bởi chuyên gia
5626
Gửi báo cáo thành công!



