Phí Ngọc Tú
Hỏi từ APP VIETJACK
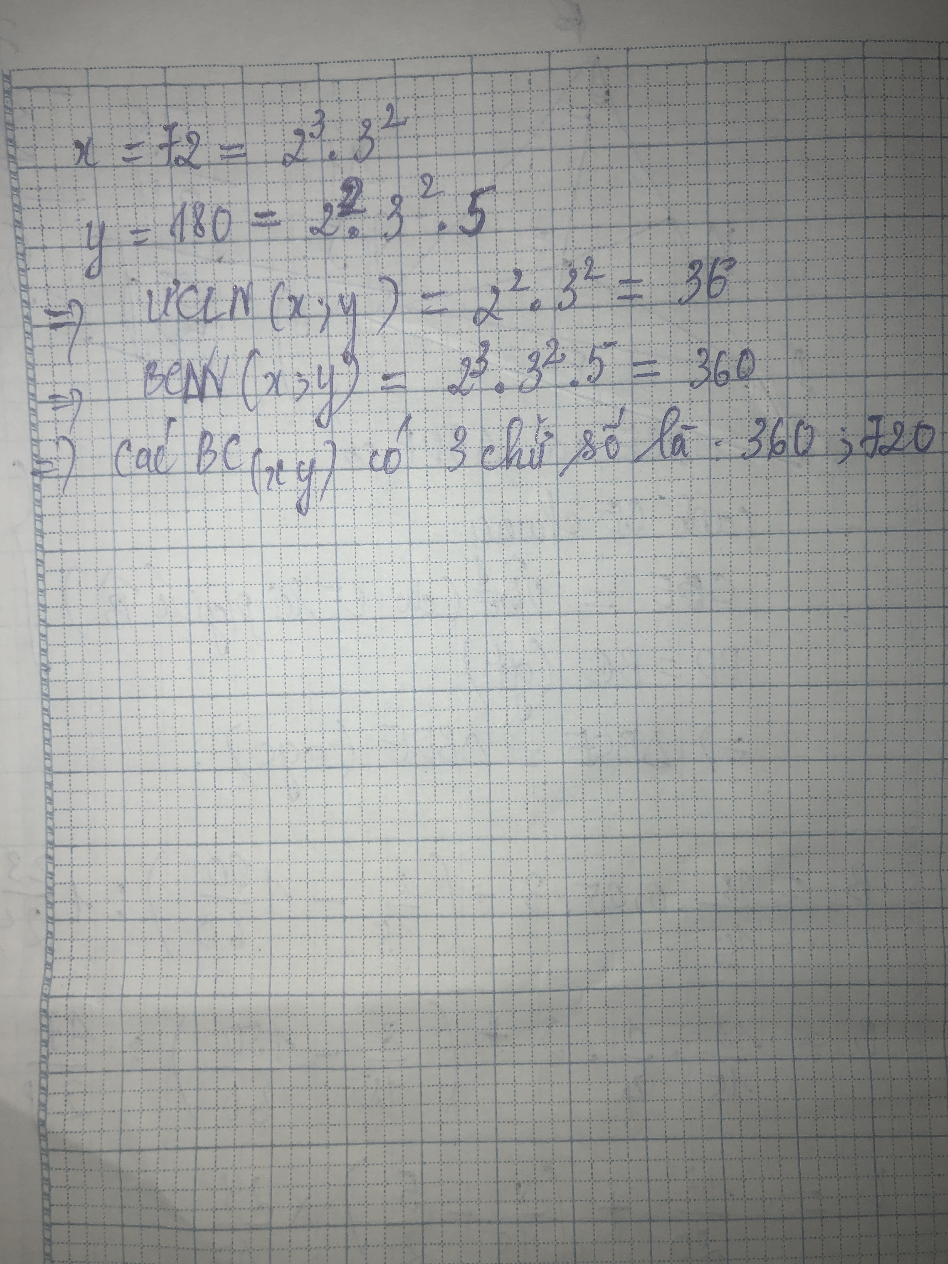
Cho 2 số x=72;y=180.
a) phân tích mỗi số ra thừa số nguyên tố.
b) tìm UCLN(x,y).
c)tìm các BC(x,y) có 3 chữ số
Quảng cáo
2 câu trả lời 544
Quảng cáo
Bạn muốn hỏi bài tập?
Câu hỏi hot cùng chủ đề
-
Điền vào chỗ trống trong bảng thanh toán sau:
Số thứ tự Loại hàng Số lượng (quyển) Giá đơn vị (đồng) Tổng số tiền (đồng) 1 Vở loại 1 35 2000 ... 2 Vở loại 2 42 1500 ... 3 Vở loại 3 38 1200 ... Cộng: ... 170023 -
78717
-
35452
-
32348
Gửi báo cáo thành công!




