Số hs khối 6 của trường từ 300 đến 400 e. Biết rằng số hs đó khi xếp hàng 12,15,18 đều đủ. Tính số hs?
Quảng cáo
3 câu trả lời 513
4 năm trước
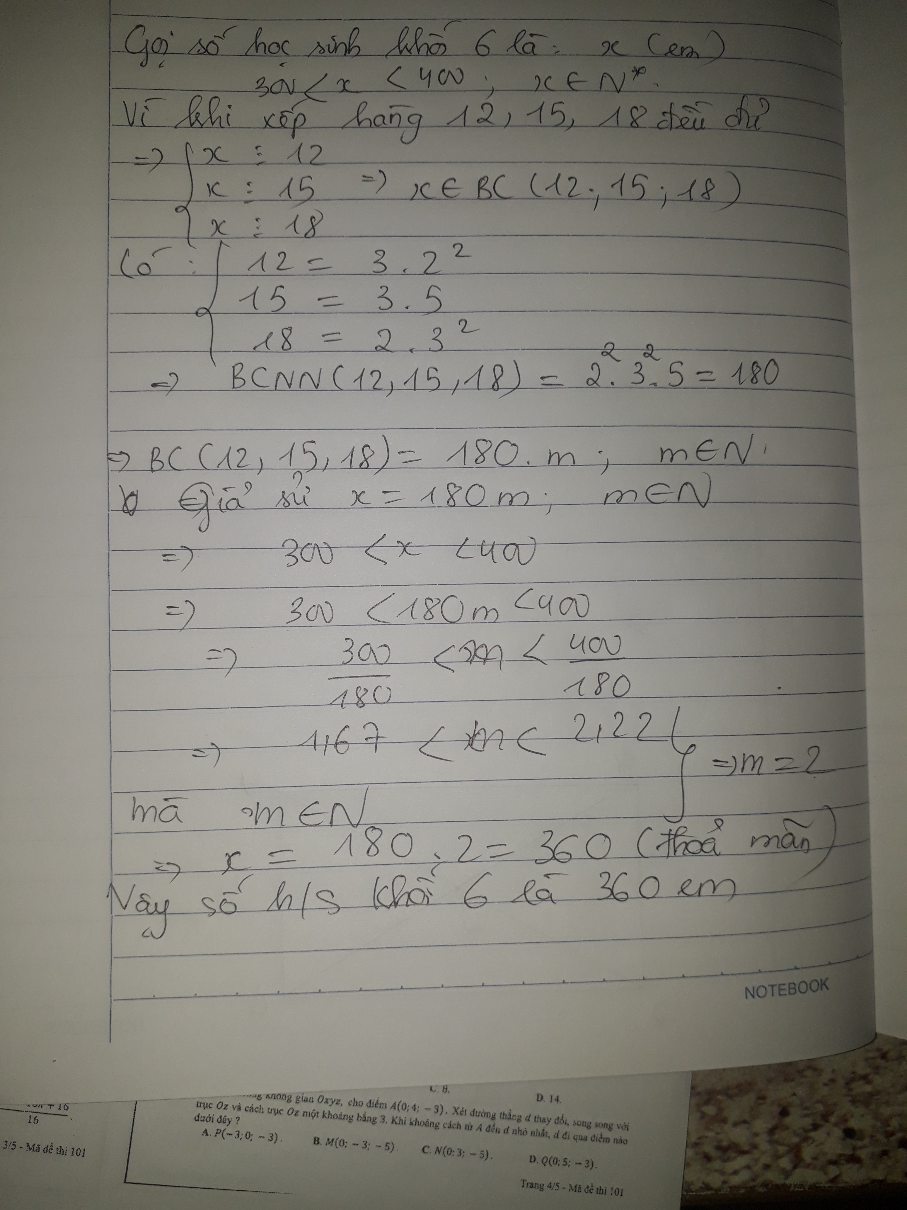
Gọi số học sinh là x (học sinh) (x∈N*)
Theo đề bài ta có:
x cho hết cho 12
x cho hết cho 15
x cho hết cho 18
⇒ x ∈ BC(12,15,18)
12=2².3
15=3.5
18=2.3²
⇒ BCNN(12,15,18)=2².3².5=180
⇒ BC(12,15,18)=B(180)={0; 180; 360; 540; ...}
mà 300<x<400
⇒ x=360
Vậy số học sinh khối 6 của trường đó là 360 học sinh
4 năm trước
Số hs đó xếp hàng 12;15 và 18 đều đủ nên số hs khối 6 là bội chung của 12;15;18
BC(12;15;18)={180;360;540;...}
Số hs khối 6 từ 300 đến 400 em nên số hs khối 6 là: 360 em
Đ/s: 360 em
Quảng cáo
Bạn muốn hỏi bài tập?
Câu hỏi hot cùng chủ đề
-
Đã trả lời bởi chuyên gia
Điền vào chỗ trống trong bảng thanh toán sau:
Số thứ tự Loại hàng Số lượng (quyển) Giá đơn vị (đồng) Tổng số tiền (đồng) 1 Vở loại 1 35 2000 ... 2 Vở loại 2 42 1500 ... 3 Vở loại 3 38 1200 ... Cộng: ... 170100 -
Đã trả lời bởi chuyên gia
78752 -
Đã trả lời bởi chuyên gia
63195 -
Hỏi từ APP VIETJACK
Đã trả lời bởi chuyên gia
39467 -
Đã trả lời bởi chuyên gia
35479 -
Đã trả lời bởi chuyên gia
32364
Gửi báo cáo thành công!




