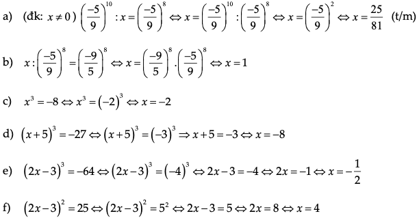
Tìm x, biết:
a)
b)
c) d)
e)
f)
Quảng cáo
1 câu trả lời 3768
Quảng cáo
Bạn cần hỏi gì?
Câu hỏi hot cùng chủ đề
-
Đã trả lời bởi chuyên gia
30602 -
Đã trả lời bởi chuyên gia
5626
Gửi báo cáo thành công!

