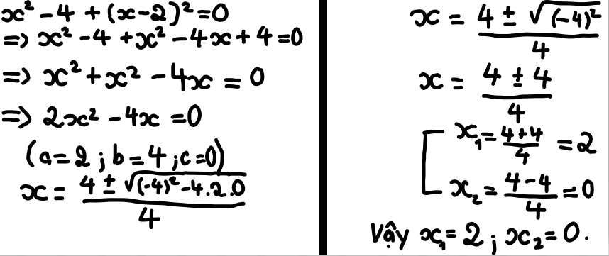
x2 - 4 + (x-2)2=0
Quảng cáo
5 câu trả lời 52
17 giờ trước
Ta cùng giải phương trình:
x^2 - 4 + (x - 2)^2 = 0
Bước 1: Khai triển hằng đẳng thức
(x - 2)^2 = x^2 - 4x + 4
Thay vào phương trình:
x^2 - 4 + x^2 - 4x + 4 = 0
Bước 2: Rút gọn
x^2 + x^2 - 4x - 4 + 4 = 0 \Rightarrow 2x^2 - 4x = 0
Bước 3: Giải phương trình
2x^2 - 4x = 0 \Rightarrow 2x(x - 2) = 0
Bước 4: Tìm nghiệm
\Rightarrow x = 0 \quad \text{hoặc} \quad x = 2
✅ Vậy phương trình có hai nghiệm là:
\boxed{x = 0 \quad \text{hoặc} \quad x = 2
Quảng cáo
Bạn muốn hỏi bài tập?
Câu hỏi hot cùng chủ đề
-
12614
-
11323
-
9277
-
5617
Gửi báo cáo thành công!

``