Quảng cáo
2 câu trả lời 834
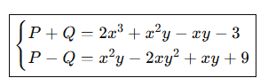
Thực hiện yêu cầu tính tổng và hiệu của hai đa thức PP và QQ.
Cho hai đa thức: P=x2y+x3−xy2+3P=x2y+x3−xy2+3 Q=x3+xy2−xy−6Q=x3+xy2−xy−6
1. Tính tổng hai đa thức P+QP+Q:
Để tính tổng hai đa thức, ta cộng các hạng tử tương ứng của chúng:P+Q=(x2y+x3−xy2+3)+(x3+xy2−xy−6)P+Q=(x2y+x3−xy2+3)+(x3+xy2−xy−6)Nhóm các hạng tử đồng dạng lại với nhau:P+Q=x2y+(x3+x3)+(−xy2+xy2)−xy+(3−6)P+Q=x2y+(x3+x3)+(−xy2+xy2)−xy+(3−6)Thực hiện phép tính:P+Q=x2y+2x3+0−xy−3P+Q=x2y+2x3+0−xy−3Sắp xếp lại theo thứ tự giảm dần của bậc của các biến (hoặc theo thứ tự bảng chữ cái):P+Q=2x3+x2y−xy−3P+Q=2x3+x2y−xy−3
2. Tính hiệu hai đa thức P−QP−Q:
Để tính hiệu hai đa thức, ta lấy đa thức PP trừ đi đa thức QQ. Cần lưu ý đổi dấu tất cả các hạng tử của đa thức QQ khi thực hiện phép trừ:P−Q=(x2y+x3−xy2+3)−(x3+xy2−xy−6)P−Q=(x2y+x3−xy2+3)−(x3+xy2−xy−6)Phân phối dấu trừ vào các hạng tử của QQ:P−Q=x2y+x3−xy2+3−x3−xy2+xy+6P−Q=x2y+x3−xy2+3−x3−xy2+xy+6Nhóm các hạng tử đồng dạng lại với nhau:P−Q=x2y+(x3−x3)+(−xy2−xy2)+xy+(3+6)P−Q=x2y+(x3−x3)+(−xy2−xy2)+xy+(3+6)Thực hiện phép tính:P−Q=x2y+0−2xy2+xy+9P−Q=x2y+0−2xy2+xy+9Sắp xếp lại:P−Q=x2y−2xy2+xy+9P−Q=x2y−2xy2+xy+9
Vậy, Tổng của hai đa thức là: P+Q=2x3+x2y−xy−3P+Q=2x3+x2y−xy−3 Hiệu của hai đa thức là: P−Q=x2y−2xy2+xy+9P−Q=x2y−2xy2+xy+9
Quảng cáo
Bạn cần hỏi gì?
Câu hỏi hot cùng chủ đề
-
105769
-
Hỏi từ APP VIETJACK
Đã trả lời bởi chuyên gia
81851 -
Hỏi từ APP VIETJACK
Đã trả lời bởi chuyên gia
77802 -
Hỏi từ APP VIETJACK62392
-
Hỏi từ APP VIETJACK
Đã trả lời bởi chuyên gia
49078 -
Đã trả lời bởi chuyên gia
38653

