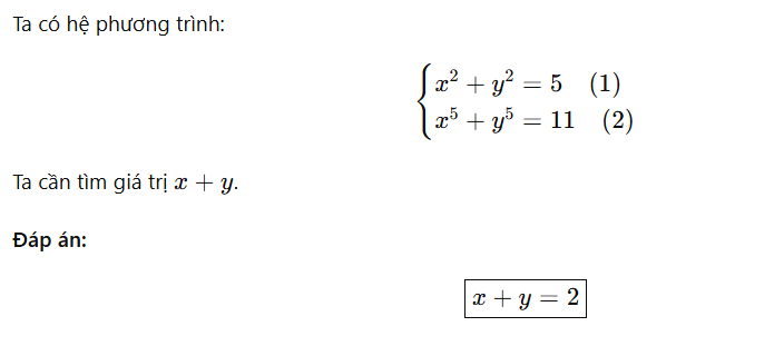
Giải hệ PT sau : x2 + y2 = 5 và x5 + y5 = 11(x + y)
Quảng cáo
3 câu trả lời 357
x + y = 2
♉︎𓍢🎧AN_Mê_OTP_Dương _Hùng ✧˚.🎀༘⋆✧
· 8 tháng trước
có meet ko á chị ?
Kim Ngưu (tháng 4)off rùi
· 8 tháng trước
náy bạn vào ak
Kim Ngưu (tháng 4)off rùi
· 8 tháng trước
sao chẳng thấy bn nói j nên chj bảo out đó
CEO tập đoàn Tống thị
· 8 tháng trước
?
CEO tập đoàn Tống thị
· 8 tháng trước
Toán ơi
♉︎𓍢🎧AN_Mê_OTP_Dương _Hùng ✧˚.🎀༘⋆✧
· 8 tháng trước
có mẹ ở bên á
CEO tập đoàn Tống thị
· 8 tháng trước
gọi xong bay luôn
Kim Ngưu (tháng 4)off rùi
· 8 tháng trước
j v
Kim Ngưu (tháng 4)off rùi
· 8 tháng trước
vừa mới vt xg văn á
CEO tập đoàn Tống thị
· 8 tháng trước
hôm nay m nói chuyện j với khánh v? =))) kể ik
Kim Ngưu (tháng 4)off rùi
· 8 tháng trước
đâu em đã nói j đâu
CEO tập đoàn Tống thị
· 8 tháng trước
nói ik
Yugi Amane
· 8 tháng trước
Bạn giải ra giúp mình được ko ạ ?
CEO tập đoàn Tống thị
· 8 tháng trước
kể t nghe
CEO tập đoàn Tống thị
· 8 tháng trước
ok bn
Kim Ngưu (tháng 4)off rùi
· 8 tháng trước
ko nói j thật
CEO tập đoàn Tống thị
· 8 tháng trước
nói dối chắc luôn
Kim Ngưu (tháng 4)off rùi
· 8 tháng trước
ko em nói thật
♉︎𓍢🎧AN_Mê_OTP_Dương _Hùng ✧˚.🎀༘⋆✧
· 8 tháng trước
ừm đúng òi
CEO tập đoàn Tống thị
· 8 tháng trước
nói dối là t giận đó nha
Kim Ngưu (tháng 4)off rùi
· 8 tháng trước
em nói thật mà
CEO tập đoàn Tống thị
· 8 tháng trước
tin đc ko v trời?
Kim Ngưu (tháng 4)off rùi
· 8 tháng trước
tin đi mà
CEO tập đoàn Tống thị
· 8 tháng trước
...
Kim Ngưu (tháng 4)off rùi
· 8 tháng trước
em nói dối chj lm j
CEO tập đoàn Tống thị
· 8 tháng trước
ko chắc nữa
Kim Ngưu (tháng 4)off rùi
· 8 tháng trước
em nói thật mà
CEO tập đoàn Tống thị
· 8 tháng trước
tạm tin m
♉︎𓍢🎧AN_Mê_OTP_Dương _Hùng ✧˚.🎀༘⋆✧
· 8 tháng trước
lúc nãy thấy nói chuyện thì phải ?
CEO tập đoàn Tống thị
· 8 tháng trước
đr sao?
Kim Ngưu (tháng 4)off rùi
· 8 tháng trước
thk an in mồm cho t
CEO tập đoàn Tống thị
· 8 tháng trước
???
CEO tập đoàn Tống thị
· 8 tháng trước
An con gái mà
Kim Ngưu (tháng 4)off rùi
· 8 tháng trước
v thì con
CEO tập đoàn Tống thị
· 8 tháng trước
t đi tắm đã nha
Kim Ngưu (tháng 4)off rùi
· 8 tháng trước
đi đi em đi chs đã
♉︎𓍢🎧AN_Mê_OTP_Dương _Hùng ✧˚.🎀༘⋆✧
· 8 tháng trước
t có nói đâu t nhắn mà
♉︎𓍢🎧AN_Mê_OTP_Dương _Hùng ✧˚.🎀༘⋆✧
· 8 tháng trước
có bị gì ko vậy ?
CEO tập đoàn Tống thị
· 8 tháng trước
ha
CEO tập đoàn Tống thị
· 8 tháng trước
đi chơi vui ha
há há há
· 8 tháng trước
...
đây nhá

Yugi Amane
· 8 tháng trước
Ờm nó khác liên quan lắm :))
CEO tập đoàn Tống thị
· 8 tháng trước
mình ko chắc nữa
Quảng cáo
Bạn cần hỏi gì?
Câu hỏi hot cùng chủ đề
-
Đã trả lời bởi chuyên gia
17294 -
Đã trả lời bởi chuyên gia
8750 -
Đã trả lời bởi chuyên gia
5071 -
Đã trả lời bởi chuyên gia
4733 -
Đã trả lời bởi chuyên gia
4245
Gửi báo cáo thành công!
