Chuc Linh Huynh Thi
Hỏi từ APP VIETJACK
Diện tích của hình thang ABCD lớn hơn diện tích của hình tam giác BEC bao nhiêu đề-xi-mét vuông
Thanh Thảo
· 2 năm trước
Hình thang ABCD là ABED dk ạ?
Quảng cáo
1 câu trả lời 265
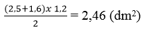
Diện tích hình thang ABED là :

Diện tích hình tam giác BEC là:
Diện tích hình thang ABED lớn hơn diện tích hình tam giác BEC:
2,46 - 0,78 = 1,68 (dm2)
Đáp số: 1,68 dm^2
Quảng cáo
Bạn cần hỏi gì?
Câu hỏi hot cùng chủ đề
-
Đã trả lời bởi chuyên gia
34004 -
27165
-
Hỏi từ APP VIETJACK
Đã trả lời bởi chuyên gia
19052 -
Đã trả lời bởi chuyên gia
18164 -
Hỏi từ APP VIETJACK17687
-
Hỏi từ APP VIETJACK
Đã trả lời bởi chuyên gia
16815
Gửi báo cáo thành công!
