Quảng cáo
2 câu trả lời 234
2 năm trước
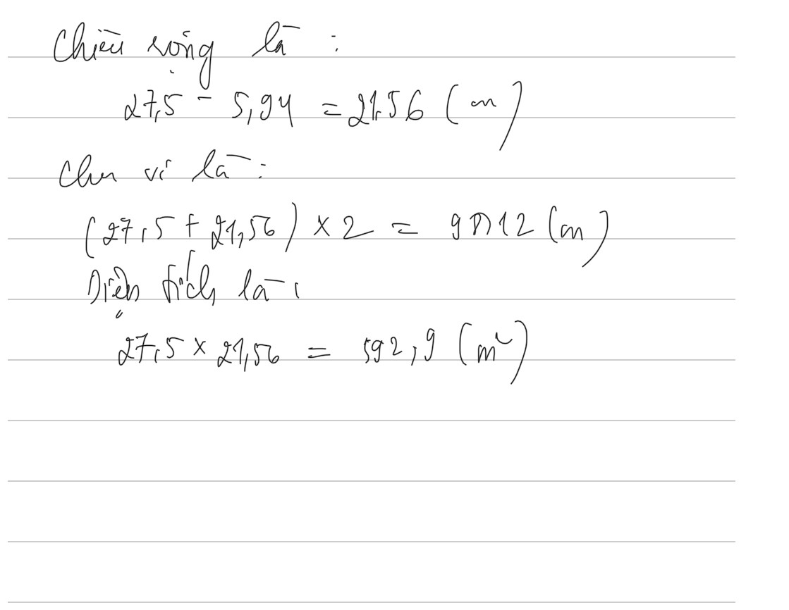
Chiều rộng là: 27,5-5,94=21,56(m)
Chu vi mảnh đất là: (27,5+21,56)x2=98,12(m)
Diện tích mảnh đất là: 27,5x21,56=592,9(m2)
Quảng cáo
Bạn muốn hỏi bài tập?
Câu hỏi hot cùng chủ đề
-
46256
-
Hỏi từ APP VIETJACK30931
Gửi báo cáo thành công!
