Quảng cáo
4 câu trả lời 273
mỗi thùng đựng 99999999999999999999999999999999999999999
lít tinh trung
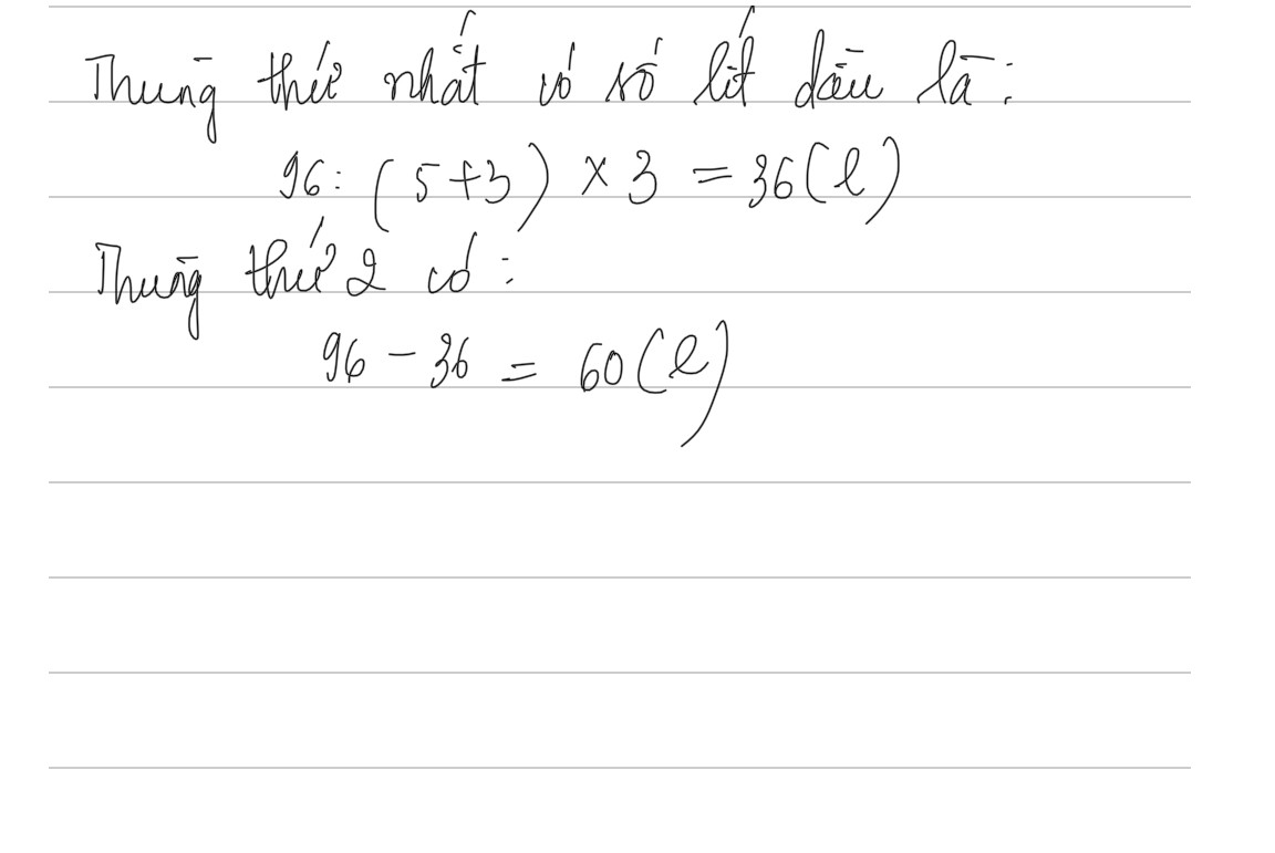
thùng thứ nhất có số l dầu là
96: ( 5+3) x3 = 36 (l)
thùng thứ hai có số l dầu là
96-36 = 60 ( l )
Quảng cáo
Bạn cần hỏi gì?
Câu hỏi hot cùng chủ đề
-
Đã trả lời bởi chuyên gia
72783 -
Hỏi từ APP VIETJACK
Đã trả lời bởi chuyên gia
31318 -
Đã trả lời bởi chuyên gia
Số thích hợp viết vào chỗ chấm để 45m2 6cm2 = ........... cm2 là:
A. 456
B. 4506
C. 456 000
D. 450 006
28541 -
Hỏi từ APP VIETJACK
Đã trả lời bởi chuyên gia
27473 -
Đã trả lời bởi chuyên gia
25072 -
Hỏi từ APP VIETJACK
Đã trả lời bởi chuyên gia
24917
Gửi báo cáo thành công!
