Van Thanhpham
Hỏi từ APP VIETJACK
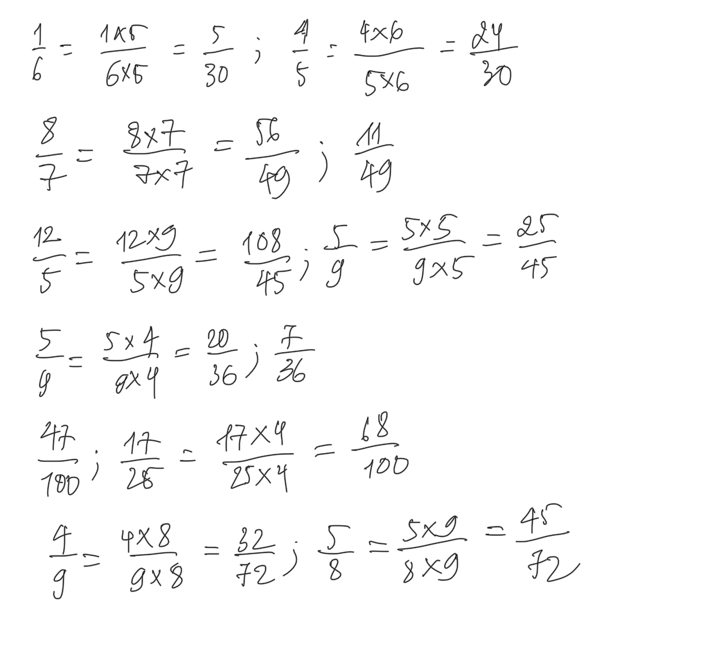
Quy đồng mẫu số các phân số
1/6 và 4/5. 11/49 và 8/7. 12/5 và 5/9
5/9 và 7/36. 47/100 và 17/25. 4/9 và 5/8
1/6 và 4/5. 11/49 và 8/7. 12/5 và 5/9
5/9 và 7/36. 47/100 và 17/25. 4/9 và 5/8
Quảng cáo
2 câu trả lời 192
Quảng cáo
Bạn muốn hỏi bài tập?
Câu hỏi hot cùng chủ đề
-
43636
-
Hỏi từ APP VIETJACK24740
Gửi báo cáo thành công!

..