thanhthu nguyen
Hỏi từ APP VIETJACK
Quy đồng mẫu số theo 2 cách
5/12 và 5/6
5/12 và 5/6
Quảng cáo
2 câu trả lời 122
2 năm trước
Cách 1:
MSC: 72.
`5/12 = (5xx6)/(12xx6) = 30/72.`
`5/6 = (5xx12)/(6xx12) = 60/72.`
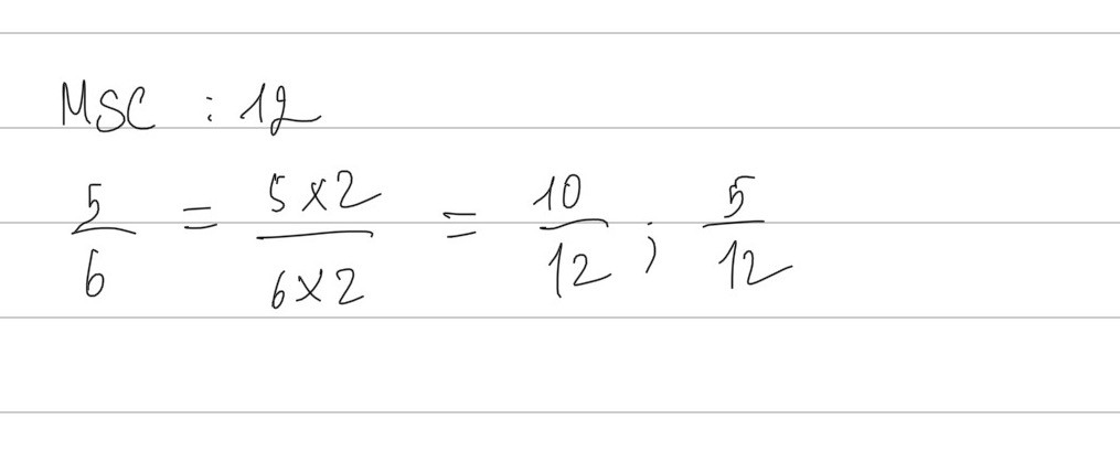
Cách 2:
MSC: 12.
`5/6 = (5xx2)/(6xx2) = 10/12` và giữ nguyên phân số `5/12.`
`color{cyan}{#nguyenthuthuy75}`
Quảng cáo
Bạn muốn hỏi bài tập?
Câu hỏi hot cùng chủ đề
-
43636
-
Hỏi từ APP VIETJACK24740
Gửi báo cáo thành công!

..