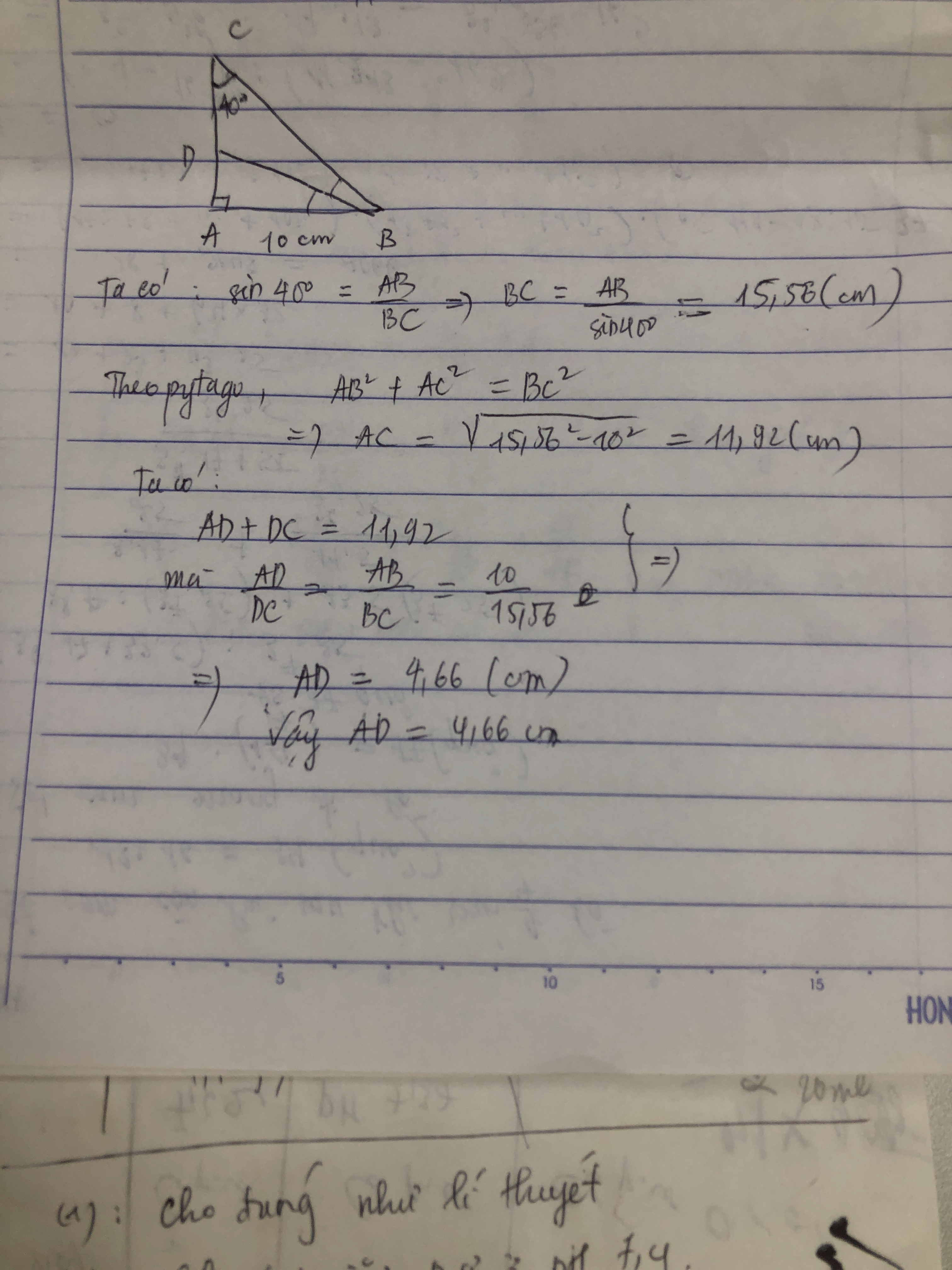
bài 2. cho tam giác ABC vuông ở A có AB=10 cm; goác ACB=40 độ
a, tính BC
b, kẻ tia phân giác BD của tam giác ABC(D thuộc AC). tính AD( làm tròn đến số thập phân thứ 2)
Quảng cáo
3 câu trả lời 8537
a. ta có tam giác ABC vuông tại A
=> sinC=AB/BC
=>BC=AB/sinC
=10/sin40
=15,56 cm
b, ta có tam giác ABC vuông tại A
=>AB^2+AC^2=BC^2
=>AC^2=BC^2-AB^2
=15,56^2-10^2
=142,11
=>AC=11,92 cm
ta có BD là phân giác
=> AB/BC=AD/DC
=> AB/BC+AB=AD/DC+AD
<=>10/10+15,56=AD/11,92
<=>AD=4,66 cm
a, Ta co
Goc B = 90 - gocC
=> Goc B = 50
cosB = AB/BC
=> BC = AB/cosB
=> BC = 10/cos50
=> BC = 15,5
b,
Goc ABD = gocB/2
=> goc ABD = 25
CosABD = AD/AB
=> AD = cosABD.AB
=> AD = cos25.10
=> AD = 9
Goc B = 90 - gocC
=> Goc B = 50
cosB = AB/BC
=> BC = AB/cosB
=> BC = 10/cos50
=> BC = 15,5
b,
Goc ABD = gocB/2
=> goc ABD = 25
CosABD = AD/AB
=> AD = cosABD.AB
=> AD = cos25.10
=> AD = 9
Nam Phương
· 3 năm trước
i bài trên yêu cầu là làm tròn đến chữ số thập phân thứ hai mà
Quảng cáo
Bạn cần hỏi gì?
Câu hỏi hot cùng chủ đề
-
Đã trả lời bởi chuyên gia
16620 -
Đã trả lời bởi chuyên gia
16585 -
Đã trả lời bởi chuyên gia
15414 -
Đã trả lời bởi chuyên gia
10350 -
Đã trả lời bởi chuyên gia
7677
Gửi báo cáo thành công!
