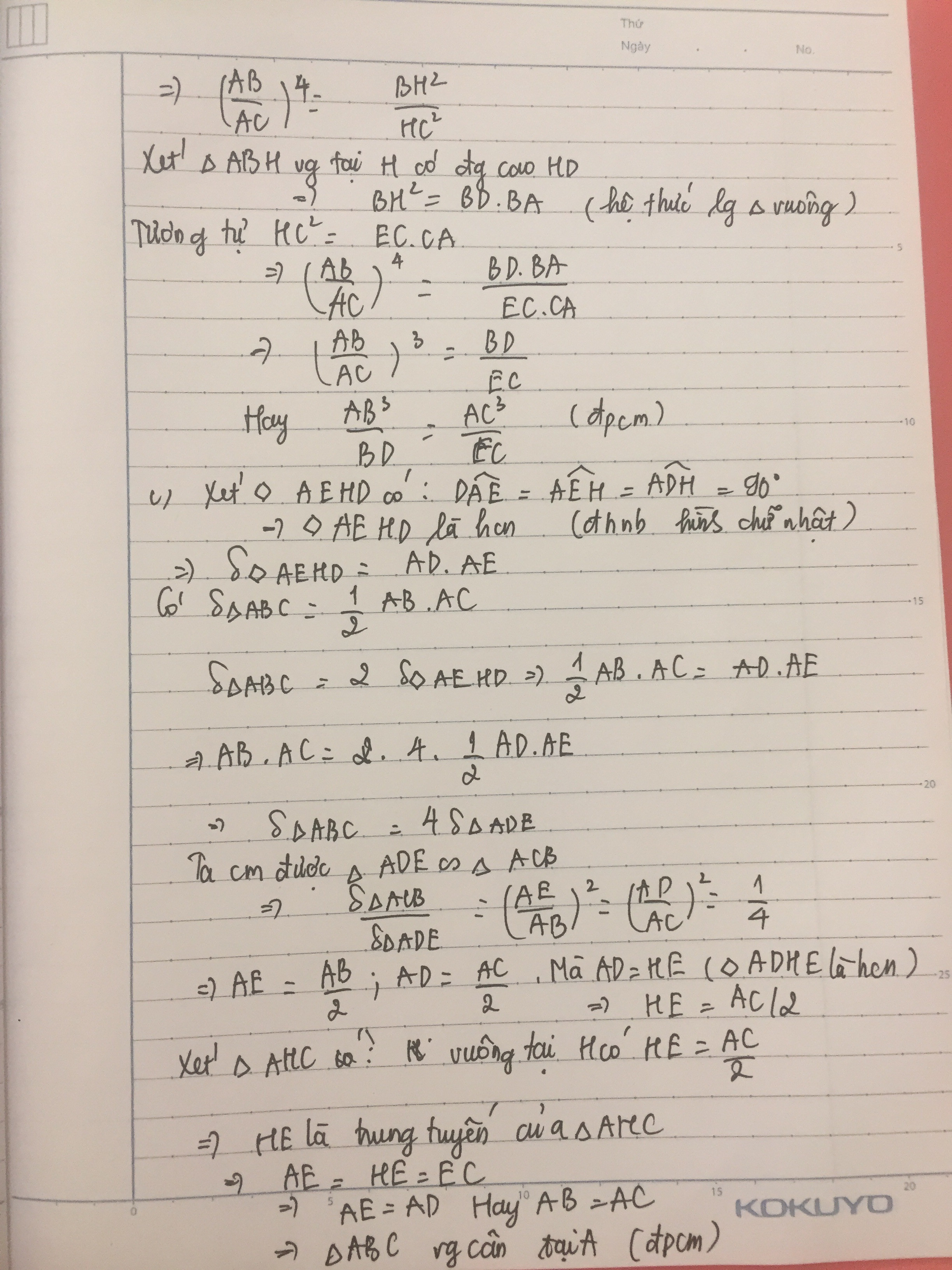
Cho tam giác ABC vuông tại A có AB <AC. Kẻ đường cao AH. Gọi D, E lần lượt là hình chiếu của H lên AB, AC.
a) Cho BH =3,6 cm; CH =6,4 cm. Tính AB và góc ACB( làm tròn đến độ)
b) Chứng minh: AD.AB=AE.AC và
c) Giả sử diện tích tam giác ABC gấp 2 lần diện tích của tứ giác AEHD. Chứng minh tam giác ABC vuông cân.
Quảng cáo
1 câu trả lời 10152
Quảng cáo
Bạn muốn hỏi bài tập?
Câu hỏi hot cùng chủ đề
-
Đã trả lời bởi chuyên gia
16417 -
Đã trả lời bởi chuyên gia
16377 -
Đã trả lời bởi chuyên gia
15110 -
Đã trả lời bởi chuyên gia
7520
Gửi báo cáo thành công!


