Có hai bình cách nhiệt giống nhau. Bình thứ nhất chứa 10kg nước ở nhiệt độ , bình thứ hai chứa 2 kg nước ở nhiệt độ . Đầu tiên rót m (kg) nước từ bình thứ nhất sang bình thứ hai, sau khi trong bình thứ hai đã đạt cân bằng nhiệt, người ta lại rót trở lại từ bình thứ hai sang bình thứ nhất một m (kg) nước. Sau n lần như vậy thì nhiệt độ nước trong bình thứ nhất là . Hỏi đã rót bao nhiêu nước từ bình thứ nhất sang bình thứ hai và ngược lại.
Quảng cáo
1 câu trả lời 6781
- Do chuyển nước từ bình 1 sang bình 2 và từ bình 2 sang bình 1. Giá trị khối lượng nước trong mỗi bình vẫn như cũ, còn nhiệt độ trong bình thứ 1 hạ xuống 1 lượng Δt1.
= 90°C – 88°C = 2°C
- Vậy nước trong bình đã mất đi một nhiệt lượng :
- Nhiệt lượng bình 2 nhận vào là:
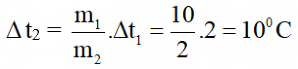
- Nhiệt lượng trên đã truyền sang bình 2. Do đó:
( là độ biến thiên nhiệt độ trong bình 2)
- Từ (1) ta có:

- Như vậy khi chuyển n lần nhiệt độ nước trong bình 2 là:
- Gọi Δm là lượng nước đã chuyển từ bình 1 sang bình 2.
- Có thể coi như ta đã chuyển Δm (kg) nước từ bình 1 sang bình 2 làm nước bình 2 nóng lên đến 40°C (rồi sau đó mới chuyển Δm (kg) nước từ bình 2 sang bình 1)
- Theo phương trình cân bằng nhiệt ta có:
![]()

Vậy lượng nước đã chuyển qua lại giữa các bình là 0,4kg
Quảng cáo
Bạn cần hỏi gì?
Câu hỏi hot cùng chủ đề
-
Hỏi từ APP VIETJACK
Đã trả lời bởi chuyên gia
76922 -
Đã trả lời bởi chuyên gia
29506 -
Đã trả lời bởi chuyên gia
27148
