Có hai bình cách nhiệt. Bình thứ nhất chứa 5 lít nước ở nhiệt độ = 60°C, bình thứ hai chứa 1 lít nước ở nhiệt độ = 20°C. Đầu tiên rót một phần nước từ bình thứ nhất sang bình thứ hai, sau khi trong bình thứ hai đã đạt cân bằng nhiệt, người ta lại rót trở lại từ bình thứ hai sang bình thứ nhất một lượng nước để cho trong hai bình có dung tích nước bằng lúc ban đầu. Sau các thao tác đó, nhiệt độ nước trong bình thứ nhất là = 59°C. Hỏi nhiệt độ bình 2 lúc này là bao nhiêu?
Quảng cáo
1 câu trả lời 3509
- Do chuyển nước từ bình 1 sang bình 2 và từ bình 2 sang bình 1. Giá trị khối lượng nước trong mỗi bình vẫn như cũ, còn nhiệt độ trong bình thứ 1 hạ xuống 1 lượng .
- Vậy nước trong bình đã mất đi một nhiệt lượng :
- Nhiệt lượng bình 2 nhận vào là:
- Nhiệt lượng trên đã truyền sang bình 2. Do đó:
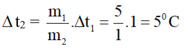
( là độ biến thiên nhiệt độ trong bình 2)
- Từ (1) ta có:

- Như vậy đến cuối cùng nhiệt độ nước trong bình 2 là:
= 20 +5 = 25°C
- Vậy nhiệt độ bình 2 lúc này là 25°C
Đáp số: 25°C
Quảng cáo
Bạn cần hỏi gì?
Câu hỏi hot cùng chủ đề
-
Hỏi từ APP VIETJACK
Đã trả lời bởi chuyên gia
76922 -
Đã trả lời bởi chuyên gia
29506 -
Đã trả lời bởi chuyên gia
27148
