Cho đồ thị biểu diễn sự thay đổi nhiệt độ của khối chất lỏng theo nhiệt lượng cung cấp có dạng trên . Biết nhiệt dung riêng của chất lỏng đó C = 2500J/Kg.K. Nhiệt hoá hơi của chất lỏng là:

A. 804985 (J/kg.K) B. 873567 (J/kg.K)
C. 902255(J/kg.K) D. 972535 (J/kg.K)
Quảng cáo
1 câu trả lời 1024
Đáp án: C
Nhìn trên đồ thị ta thấy:
- Đoạn AB : Chất lỏng nhận một nhiệt lượng = 200kJ để tăng từ 20°C đến 80°C . Gọi m là khối lượng chất lỏng ta có :
= mc(80-20)

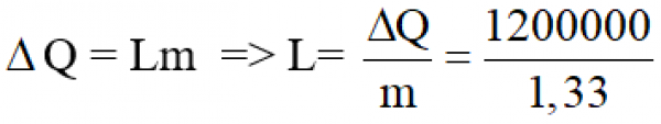
- Đoạn BC : Chất lỏng hoá hơi. Trong giai đoạn này có nhận một nhiệt lượng
ΔQ = = 1400 – 200 = 1200 (kJ)
- và nhiệt lượng này dùng để chất lỏng hoá hơi hoàn toàn nên :

= 902255(J/kg.K)
Quảng cáo
Bạn cần hỏi gì?
Câu hỏi hot cùng chủ đề
-
Hỏi từ APP VIETJACK
Đã trả lời bởi chuyên gia
76963 -
Đã trả lời bởi chuyên gia
29520 -
Đã trả lời bởi chuyên gia
27158
