Quảng cáo
1 câu trả lời 2661
- Nhiệt lượng cần cung cấp cho 100g nước từ 20°c biến thành hơi nước ở 100°c:
= 0,1.4200.(100 – 20) + 0,1.2,3.106 = 263,6.103J
- Nhiệt lượng do dầu đốt cháy tỏa ra:
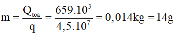
- Lượng dầu cần dùng:
Đáp số: 14g
Quảng cáo
Bạn cần hỏi gì?
Câu hỏi hot cùng chủ đề
-
Hỏi từ APP VIETJACK
Đã trả lời bởi chuyên gia
76922 -
Đã trả lời bởi chuyên gia
29506 -
Đã trả lời bởi chuyên gia
27148
Gửi báo cáo thành công!
