Một bình thông nhau chứa nước. Người ta đổ thêm xăng vào một nhánh. Hai mặt thoáng ở hai nhánh chênh lệch nhau 30mm. Cho biết trọng lượng riêng của nước là và của xăng là . Chiều cao của cột xăng là:
A. 300mm B. 30mm
C. 120mm D. 60mm
Quảng cáo
1 câu trả lời 597

Đáp án: A
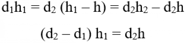
- Xét hai điểm A và trong hai nhánh nằm trong cùng một mặt phẳng ngang trùng với mặt phân cách giữa xăng và nước biển.
- Ta có:
- Mặt khác:
- Nên
- Theo hình vẽ thì . Do đó:

![]()
Quảng cáo
Bạn cần hỏi gì?
Câu hỏi hot cùng chủ đề
-
Hỏi từ APP VIETJACK
Đã trả lời bởi chuyên gia
76922 -
Đã trả lời bởi chuyên gia
29506 -
Đã trả lời bởi chuyên gia
27148
Gửi báo cáo thành công!
