Hai xe cùng xuất phát từ A để về B. Xe thứ nhất đi nửa quãng đường đầu với vận tốc , nửa quãng đường còn lại vận tốc của xe là . Xe thứ hai đi trong nửa thời gian đầu với vận tốc nửa thời gian còn lại với vận tốc . Xe nào về đến B trước? Tại sao?
Quảng cáo
1 câu trả lời 5456
- Gọi S là độ dài quãng đường AB. là vận tốc trung bình của xe trên cả quãng đường AB. là tổng thời gian xe chuyển động từ A về B
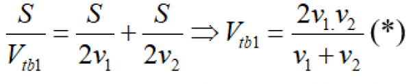
- Xét xe thứ nhất:
+ Thời gian đi từ A về B là:

+ Mặt khác, theo bài ra ta có:

+ Từ (1) và (2) ta có:


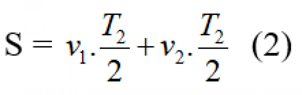
- Xét xe thứ hai:
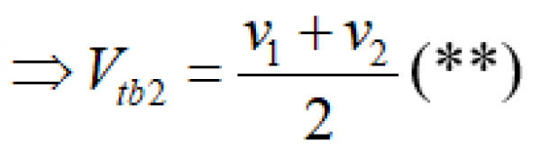
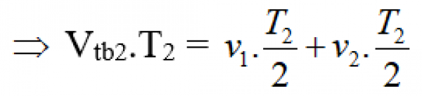
+ Độ dài quãng đường AB là:
![]()
+ Theo bài ta có:


- Từ (*) và (**) ta có:

Vậy vận tốc trung bình của người thứ hai lớn hơn người thứ nhất, nên người thứ hai sẽ về đích trước.
Quảng cáo
Bạn cần hỏi gì?
Câu hỏi hot cùng chủ đề
-
Hỏi từ APP VIETJACK
Đã trả lời bởi chuyên gia
76858 -
Đã trả lời bởi chuyên gia
29489 -
Đã trả lời bởi chuyên gia
27137
