Một cậu bé dắt chó đi dạo về nhà, khi còn cách nhà 10 mét, con chó chạy về nhà với vận tốc 5m/s.Vừa đến nhà nó lại chạy ngay lại với vận tốc 3m/s. Tính vận tốc trung bình của chú chó trong quãng đường đi được kể từ lúc chạy về nhà đến lúc gặp lại cậu bé, biết cậu bé đi đều với vận tốc 1m/s.

Quảng cáo
1 câu trả lời 4486
- Thời gian chú chó về đến nhà là:

- Trong thời gian đó cậu bé đi được: 1.2 = 2 (m).
⇒ Khoảng cách từ cậu bé đến nhà lúc đó là:
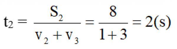
- Thời gian chú chó chạy từ nhà tới lúc gặp lại cậu bé là:
![]()
- Chú chó đã quay lại một đoạn là:
- Tổng thời gian t = 4s , tổng quãng đường là S = 10 + 6 = 16 (m)
- Vận tốc trung bình của chú chó trong cả quá trình là:
v = .. (m/s)
Đáp số: 4m/s
Quảng cáo
Bạn cần hỏi gì?
Câu hỏi hot cùng chủ đề
-
Hỏi từ APP VIETJACK
Đã trả lời bởi chuyên gia
76858 -
Đã trả lời bởi chuyên gia
29489 -
Đã trả lời bởi chuyên gia
27137
