Một chiếc thuyền cao tốc đi từ bến A đến bến B. Trong 2/3 thời gian đầu vận tốc của thuyền là = 45km/h, thời gian còn lại thuyền chuyển động với vận tốc v2 bằng bao nhiêu để vận tốc trung bình của nó trên cả quãng đường AB là v = 48km/h?
Quảng cáo
1 câu trả lời 3152
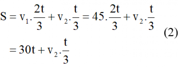
- Gọi t (giờ) là tổng thời gian thuyền đi từ bến A đến B, v (km/h) là vận tốc trung bình của thuyền khi đi từ A đến B.
- Khoảng cách giữa hai bến A, B là:
S = v.t = 48t (1)
- Theo bài ta có:


Đáp số: 54km/h
Quảng cáo
Bạn cần hỏi gì?
Câu hỏi hot cùng chủ đề
-
Hỏi từ APP VIETJACK
Đã trả lời bởi chuyên gia
76858 -
Đã trả lời bởi chuyên gia
29489 -
Đã trả lời bởi chuyên gia
27137
Gửi báo cáo thành công!
