Đoàn tàu hỏa bắc nam đi từ ga Hà Nội vào thành phố Hồ Chí Minh. Chặng đầu đoàn tàu đi mất 1/3 tổng thời gian với vận tốc = 45km/h. Chặng giữa xe đi mất 1/2 tổng thời gian với vận tốc = 60km/h. Chặng còn lại xe chuyển động với vận tốc = 48km/h. Tính vận tốc của xe trên cả quãng đường?
Quảng cáo
1 câu trả lời 5751
- Gọi t (h) là tổng thời gian đoàn tàu chuyển động từ ga Hà Nội vào thành phố Hồ Chí Minh, v là vận tốc trung bình của đoàn tàu trên cả đoạn đường.
- Thời gian xe đi hết chặng cuối là :
![]()
- Độ dài quãng đường từ ga Hà Nội vào thành phố Hồ Chí Minh là:
S = v.t (1)
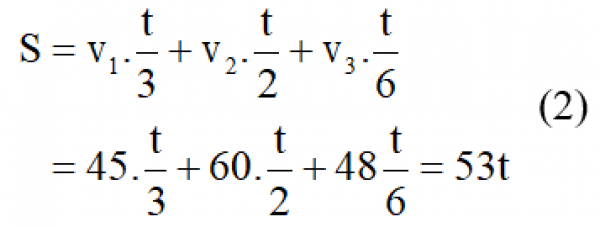
- Theo bài ta có:

Từ (1) và (2):
![]()
Đáp số: 53km/h
Quảng cáo
Bạn cần hỏi gì?
Câu hỏi hot cùng chủ đề
-
Hỏi từ APP VIETJACK
Đã trả lời bởi chuyên gia
76858 -
Đã trả lời bởi chuyên gia
29489 -
Đã trả lời bởi chuyên gia
27137
Gửi báo cáo thành công!
