Một chiếc ca nô đi từ A về B. Vận tốc của ca nô trong 1/3 quãng đường đầu là v1 = 20km/h, trong 1/3 quãng đường tiếp theo là v2 = 25km/h và vận tốc trên quãng đường còn lại là v3. Tính v3 biết vận tốc trung bình của xe trên cả quãng đường là v = 22km/h.
A. 22km/h B. 21km/h
C. 22,3km/h D. 21,6km/h
Quảng cáo
1 câu trả lời 1395
Đáp án D
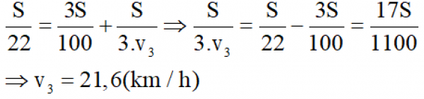
- Gọi S là độ dài quãng đường AB, gọi v là vận tốc trung bình của ca nô trên cả quãng đường AB.
- Thời gian đi từ A về B là:

- Mặt khác, theo bài ra ta có:
![]()
- Từ (1) và (2) ta có:

Quảng cáo
Bạn cần hỏi gì?
Câu hỏi hot cùng chủ đề
-
Hỏi từ APP VIETJACK
Đã trả lời bởi chuyên gia
76858 -
Đã trả lời bởi chuyên gia
29489 -
Đã trả lời bởi chuyên gia
27137
Gửi báo cáo thành công!
