Quảng cáo
2 câu trả lời 24641
Giải chi tiết:
Bước 1: Đặt khối lượng chất tan và tổng khối lượng dung dịch
Gọi khối lượng dung dịch ban đầu là m1 = 180 gam, với nồng độ chất tan H2 SO4 ban đầu là 20%. Do đó:
![]()
Khi hòa tan m vào dung dịch, toàn bộ SO3 phản ứng với nước để tạo thành H2SO4, theo phương trình:
![]()
Vì thế, khối lượng H2SO4 sau phản ứng tăng thêm m do sự hình thành của H2SO4 từ SO3.
- Tổng khối lượng dung dịch sau phản ứng là:

Bước 2: Tính nồng độ dung dịch H2SO4 sau phản ứng
Nồng độ dung dịch H2SO4 sau phản ứng là 32,5%. Do đó, khối lượng H2SO4 trong dung dịch sau phản ứng là:
![]()
Mặt khác, khối lượng H2SO4 sau phản ứng bao gồm:
- 36 gam H2SO4 ban đầu,
- và m gam H2SO4 được tạo ra từ SO3.
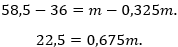
Do đó:
![]()
Bước 3: Thiết lập phương trình
Từ hai biểu thức của mH2SO4 (sau):
![]()
Bước 4: Giải phương trình
Khai triển:
![]()
Rút gọn:
![]()
Giải m:
![]()
Kết luận:
Khối lượng SO3 cần hòa tan là:
![]()
$PTHH : SO_3+H_2O\to H_2SO_4$
`nSO_3=m/80=nH_2SO_4`sinh ra
Có :
`nH_2SO_4` ban đầu `=(180.20)/100=36g`
`m_(dd)=m+180g`
`=>(36+m/80 .98)/(m+180)=32,5g`
`=>m=25g`
Quảng cáo
Bạn cần hỏi gì?
Câu hỏi hot cùng chủ đề
-
Hỏi từ APP VIETJACK105879
-
Hỏi từ APP VIETJACK
Đã trả lời bởi chuyên gia
65008 -
Đã trả lời bởi chuyên gia
59224 -
Đã trả lời bởi chuyên gia
42366 -
Hỏi từ APP VIETJACK
Đã trả lời bởi chuyên gia
39563
