Hợp chất Z được tạo bởi hai nguyên tố X và Y có công thức XY2 trong đó Y chiếm 72,73% về khối lượng. Biết rằng trong phân tử Z, tổng số hạt (proton, nơtron, electron) là 66, số proton là 22. Nguyên tố Y là
A. cacbon. B. oxi. C. lưu huỳnh. D. magie.
Quảng cáo
1 câu trả lời 4690
Đáp án: A
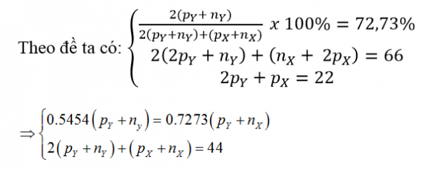
Gọi số hạt proton, nơtron của X là

⇒
Vậy: Y là oxi và X là cacbon.
Giá trị thỏa mãn các phương trình.
Quảng cáo
Bạn cần hỏi gì?
Câu hỏi hot cùng chủ đề
-
Hỏi từ APP VIETJACK105525
-
Hỏi từ APP VIETJACK
Đã trả lời bởi chuyên gia
64941 -
Đã trả lời bởi chuyên gia
59184 -
Đã trả lời bởi chuyên gia
42319 -
Hỏi từ APP VIETJACK
Đã trả lời bởi chuyên gia
39500
Gửi báo cáo thành công!
